최소제곱법 또는 최소자승법이란
통계기초에서 배우는 개념인데
제곱들의 합이 최소가 되는 직선을 구하는 방법이다
이게 뭔 말이냐면

이런 식으로 좌표 위에 점들이 있고 점 사이를 지나는 직선은 무수히 많을 것이다.
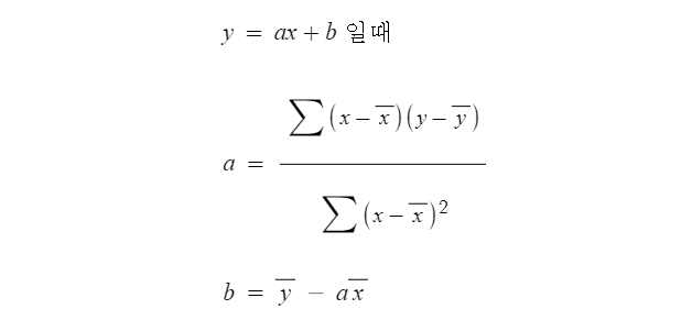
그런데 각 점에서 직선위로 내린 직선의 길이(위 이미지에서 y)의 제곱의 합이 최소가 될 때 가장 점들의 경향을 잘 설명해주는 직선 y=ax+b를 구할 수 있다는 이론이다.
그냥 저 네모네모들의 합이 최소가 될 때 가장 정확한 직선을 구할 수 있단 뜻이고,
이걸 파헤치는 글이 아니니 어서 c언어 코드로 넘어가자.

위 식을 바탕으로 코드를 작성해보자
배열의 값들은 확인을 위해 인터넷에 돌아다니는 예제를 갖다 씀 (출처를 남기고 싶은데 링크를 잃어버림..)
- math.h를 사용하고 있음. 컴파일 할 때 -lm 옵션 필요
- leastSqaure는 최소제곱법을 이용해 a와 b를 구하는 함수. 인자로 (배열1, 배열2, 데이터 수)를 받음
- mean은 주어진 값의 평균을 구하는 함수 (x바와 y바를 구할 때 필요). 인자로 (배열1, 데이터 수)를 받음
이번에는 상관계수를 구하는 코드를 작성해봤다.
위 코드를 살짝 바꾼 건데 leastSqaure함수가 a값을 리턴한다는 점이 좀 다르다.
여기서 a'는 x축과 y축을 바꿔서 계산한 a값이다.
leastSqaure에서 받아온 a값들을 calculateR에 넣어서 상관계수를 구한다.
상관계수가 1에 가까울 수록 상관이 높다고 하고 보통 0.5이하면 상관이 낮다고 보는 것 같다.
| C언어 텍스트, 바이너리 파일 읽기 쓰기 (2) | 2020.12.02 |
|---|---|
| C언어 수치계산 - 다항식 계산 알고리즘 (호너법 Horner's method) (2) | 2020.11.23 |
| C언어 수치계산 미분방정식 오일러법, 4차 룽게 쿠타법 알고리즘 (0) | 2020.09.05 |
| C언어 수치계산 수치적분 (구분구적법, 사다리꼴, 심슨 공식) (0) | 2020.09.03 |
| C언어 예제 두 수의 합 구하기 (0) | 2020.06.04 |
댓글 영역